Home
Popular
Featured
Best coubs
Stories
Who to follow
My likes
Bookmarks
Communities
Animals & Pets
Art & Design
Auto & Technique
Blogging
Cartoons
Celebrity
Dance
Fashion & Beauty
Food & Kitchen
Gaming
Live Pictures
Mashup
Memes
Movies & TV
Music
Nature & Travel
Science & Technology
Sports
Stand-up & Jokes
Anime
Dark Theme
Join our community
Create
Log in
Mobile apps
Terms of Service
Community rules
DMCA policy
Privacy policy
Navigation
Popular
Featured
Best coubs
Communities
Login
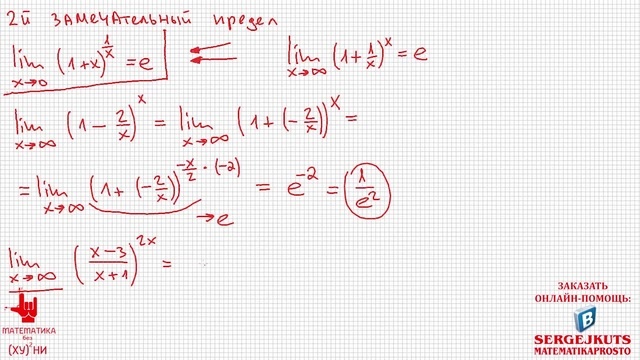
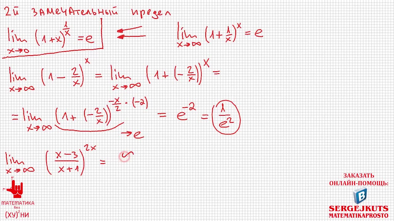
Математика без Ху%!ни. Второй замечательный предел.